全国2018年10月自考高等数学一真题
![]() |
2018年10月高等教育自学考试全国统一命题考试.doc |
2018年10月自考高等数学一真题及答案, 本试卷总分100分,考试时间150分钟。
一、单项选择题
本大题共l0小题,每小题3分,共30分。在每小题列出的备选项中只有一项是最符合题目要求的,请将其选出。
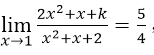
1.若极限
则常数k=()
A.1
B.2
C.3
D.4
2.设函数
,则当
时()
A.f(x)是比g(x)高阶的无穷小量
B.f(x)是比g(x)低阶的无穷小量
C.f(x)是比g(x)是同阶无穷小量,但不是等价无穷小量
D.f(x)是比g(x)是等价无穷小量
3.下列函数中在点x=0处导数不存在的是()
A.y=sinx
B.y=tanx
C.![]()
D.y=2x
4.若曲线y=x-ex 在点(x0,y0)的切线斜率为0,则切点(x0,y0)是()
A.(1,1-e)
B.(-1,-1-e)
C.(0,1)
D.(0,-1)
5.设函数f(x)在区间[a,b]上可导,且f'(x)<0 ,若f(b)>0,则在[a,b]上()
A.f(x)>0
B.f(x)<0
C.f(x)=0
D.f(x)的值有正有负
6.已知x=0是函数
的驻点,则常数a=()
A.-2
B.-1
C.0
D.1
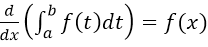
7.若
,则f(x)= ()
A.
B.
C.
D.
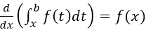
8.设函数f(x)在区间[a,b]上连续,则下列等式正确的是()
A.![]()
B.![]()
C.![]()
D.![]()
9.微分方程sinxdx+cosydy = 0 的通解为()
A.cosy+sinx=C
B.cosy-sinx=C
C.siny+cosx=C
D.siny-cosx=C
8.设函数f(x,y) = y lnx+x2,则
()
A.0
B.1
C.2
D.3
二、简单计算题
本大题共5小题,每小题4分,共20分。
11.设等差数列{xn}的公差d=2,且x2+x5=16,求首项x1。
12.求极限
。
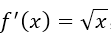
13.设函数
,求微分dy。
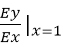
14.求函数y=3e2x的弹性函数及
及
。
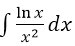
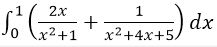
15.求不定积分
。
三、计算题
本大题共5小题,每小题5分,共25分。
21.求函数
的定义域。
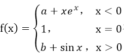
22.已知函数
在点x=0处连续,求常数a,b的值。
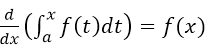
23.已知函数y=tan-1(x2) ,求
。
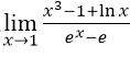
24.求极限
。
25.计算定积分
。
四、综合题
本大题共4小题,共25分。
31.设某厂生产Q吨产品的总成本C(Q)=3Q+1(万元),需求量Q与价格的(万元/吨)的关系为Q=35-5P,且产销平衡。(1) 求总利润函数L(Q);(2) 问产量为多少是总利润最大。
32.设D是由曲线y=x2一l与直线x=2,y=0所围成的平面区域。求:(1)D的面积A;(2)D绕x轴旋转一周的旋转体体积Vx。
33.求函数z=x2+xy+y2-3x-6y+1的极值。
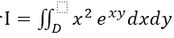
34.计算二重积分
,其中D是由直线y=x,x=1及x轴围成的平面区域。
相关《全国2018年10月自考高等数学一真题》的文章
甘肃自考便捷服务
- 微信交流群
- 微信公众号

微信扫一扫加入考生微信群
①学习交流、②考试提醒、③自考解答
④自考资料、⑤新闻通知、⑥备考指导

甘肃自考网微信公众号
随时获取甘肃省自考政策、通知、公告
以及各类学习微信公众号
- 热点文章
- 常见问题




