全国2009年1月高等教育自学考试计算机通信网试题
课程代码:02373
一、单项选择题(本大题共20小题,每小题1分,共20分)
在每小题列出的四个备选项中只有一个是符合题目要求的,请将其代码填写在题后的括号内.错选、多选或未选均无分.
1.OSI参考模型中,提供可靠的端到端通信服务的功能层是( )
A.网络层
B.运输层
C.应用层
D.数据链路层
2.数据链路层的协议数据单元(PDU)是( )
A.比特
B.帧
C.分组
D.报文
3.Internet网络本质上属于( )
A.电路交换网络
B.报文交换网络
C.分组交换网络
D.虚电路网络
4.理想、完善和可靠的网络服务是( )
A.A型网络服务
B.B型网络服务
C.C型网络服务
D.D型网络服务
5.数字数据网(DDN)提供( )
A.电路交换连接
B.逻辑连接
C.永久交叉连接
D.半永久交叉连接
6.使用CSMA/CD协议的常规局域网是( )
A.总线型局域网
B.环型局域网
C.令牌环局域网
D.令牌总线局域网
7.在中继器连接的网络中,需要遵守5-4-3规则,其含义是( )
A.用3个中继器连接4个网段,最多不能超过5个网段
B.用4个中继器连接最少3个网段,最多连接5个网段
C.用5个中继器连接4个网段,只能有3个网段可以连接站点
D.用4个中继器连接5个网段,只能有3个网段可以连接站点
8.固化在网卡中的地址称为( )
A.MAC地址
B.单播地址
C.组播地址
D.广播地址
9.TCP协议的流量控制手段采用( )
A.停止-等待策略
B.源抑制策略
C.滑动窗口法
D.设置生存时间
10.某IP地址169.1.9.10属于( )
A.A类地址
B.B类地址
C.C类地址
D.D类地址
11.LAN交换机是( )
A.工作在第1层的多端口中继器
B.工作在第2层的多端口集线器
C.工作在第2层的多端口路由器
D.工作在第2层的多端口网桥
12.在数据报服务中,负责端到端的差错处理和流量控制的是( )
A.交换节点
B.网络
C.主机
D.路由器
13.网络故障管理的作用是( )
A.使网络性能达到最佳
B.监测网络运行
C.管理网络用户
D.实现用户计费
14.在OSI参考模型中,位于不同子系统的同一层相互交换信息的实体构成了( )
A.相邻实体
B.对等实体
C.传输实体
D.通信实体
15.著名的以太网是基带LAN系统,使用数字信号传输,采用( )
A.不归零编码
B.归零编码
C.曼彻斯特编码
D.4B/5B编码
16.增加VLAN带来的好处不包括( )
A.交换机不需要重新配置
B.广播可以得到控制
C.机密数据可以得到保护
D.减少工作站移动所需费用
17.面向无连接的LLC子层操作类型1的特点是( )
A.有流量控制
B.有差错控制
C.没有确认
D.需要建立逻辑连接
18.Internet运输层协议包括( )
A.TCP、FTP
B.UDP、IP
C.TCP、IP
D.TCP、UDP
19.不采用分组交换技术的网络是( )
A.X.25
B.ISDN网络
C.帧中继网络
D.ATM网络
20.帧中继发展的必要条件是用户终端的智能化和( )
A.交换机处理速度加快
B.用户终端存储能力增加
C.传输质量提高
D.传输速度增加
二、填空题(本大题共15小题,每小题1分,共15分)
请在每小题的空格中填上正确答案.错填、不填均无分.
21.一个排队系统由排队和__________组成.
22.分散式网络是集中式网络的扩展,它是__________网与格状网的混合物.
23.实现全双工局域网的必要前提是____________,因为全双工要求只有两个站的点对点的连接.
24.用来表示图的边连通程度的是__________,称为图的结合度.
25.网桥主要有透明网桥和__________网桥等类型.
26.IEEE802.2是局域网__________子层遵循的标准.
27.RARP协议实现__________地址到IP地址的解析过程.
28.FTP使用__________作为其运输层协议.
29.一个URL由三部分组成,它们是超文本传送协议代码、__________、服务器定位文档的全路径名.
30.HDLC以一组特定的比特序列即__________来标志一帧的起始和终止.
31.面向连接的网络服务方式在__________确定路由.
32.X.25主要是为__________网络定义的标准.
33.UDP协议提供不可靠、__________的服务.
34.在TCP/IP模型的运输层中,传送的数据单位是__________.
35.帧中继采用__________协议作为数据链路层协议.
三、简答题(本大题共5小题,每小题5分,共25分)
36.简述协议与服务的区别和关系.
37.简述TCP/IP利用"源抑制"策略进行拥塞控制的过程.
38.简述CSMA/CD的控制方法.
39.简述运输层协议与网络层服务的关系.
40.简述计算机通信网的主要任务.
四、画图题(本大题共4小题,每小题5分,共20分)
41.画出TCP通过"三次握手"建立连接的过程.
42.画出M/M/1排队系统的模型.
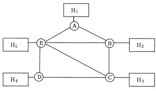
43.假设网络刚启动建立两条虚电路:(1)H1→A→B→C→H3,(2)H1→A→B→C→E→H5.当两条虚电路同时工作时,试画出上述两种情况的相关节点的虚电路表.
网络的拓扑结构如题43图所示,其中:H1、H2、H3、H4、H5为主机,A、B、C、D、E为网络节点.
题43图
44.画出局域网参考模型的示意图.
五、计算题(本大题共4小题,每小题5分,共20分)
45.一个1 km长的10 Mbps的CSMA/CD局域网,其传播速度等于200 m/μs,数据帧的长度是256比特,其中包括用于帧头、校验和以及其他开销的32比特.假设没有冲突发生,确认帧发送和处理时间忽略,那么最远站点之间有效数据速率(不包括开销)是多少?
46.假定IP的B类地址不是用16位,而是用20位作为B类地址的网络号部分,那么将会有多少个B类网络?
47.一个3 600比特长的TCP报文传到IP层,加上20字节的首部后成为数据报.经由传输的互联网由两个局域网通过路由器连接起来,但第二个局域网所能传送的最长数据帧中的数据部分只有150字节,因此数据报在路由器必须进行分片.试计算出第二个局域网向其上层传送的各分片结构首部(即片头)和数据的长度,并作必要说明.
48.设M/M/1排队系统的λ=9 600分组/分,数据传输速率为C=9 600比特/秒,系统的平均时延S=0.03125秒,试求:
(1)分组平均长度;
(2)系统中平均分组数.
相关《全国2009年1月高等教育自学考试计算机通信网试题》的文章
甘肃自考便捷服务
- 微信交流群
- 微信公众号

微信扫一扫加入考生微信群
①学习交流、②考试提醒、③自考解答
④自考资料、⑤新闻通知、⑥备考指导

甘肃自考网微信公众号
随时获取甘肃省自考政策、通知、公告
以及各类学习微信公众号
- 热点文章
- 常见问题



