全国2008年10月高等教育自学考试高等数学(一)
课程代码:00020
一、单项选择题(本大题共5小题,每小题2分,共10分)
在每小题列出的四个备选项中只有一个是符合题目要求的,请将其代码填写在题后的括号内.错选、多选或未选均无分.
1.设函数y=f(x)的定义域为(1,2),则f(ax)(a<0)的定义域是()
A.(
)
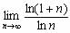
B.[
)
C.(a,2a)
D.(
]
2.设f(x)=x|x|,则f′(0)=()
A.1
B.-1
C.0
D.不存在
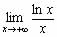
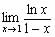
3.下列极限中不能应用洛必达法则的是()
A.
B.
C.
D.
4.设f(x)是连续函数,且
,则f(x)=()
A.cosx-xsinx
B.cosx+xsinx
C.sinx-xcosx
D.sinx+xcosx
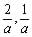
5.设某商品的需求量D对价格p的需求函数为D=50-
,则需求价格弹性函数为()
A.
B.
C.

D.

二、填空题(本大题共10小题,每小题3分,共30分)
请在每小题的空格中填上正确答案.错填、不填均无分.
6.设f(x)=
,则f(f(x))=_______.
7.
=_______.
8.
_______.
9.设f′(0)=1,则
_______.
10.设函数y=x+klnx在[1,e]上满足罗尔定理的条件,则k=_______.
11.曲线y=ln
的竖直渐近线为_______.
12.曲线y=xlnx-x在x=e处的切线方程为_______.
13.
_______.
14.微分方程xy′-ylny=0的通解是_______.
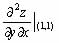
15.设z=(x+y)exy,则
=_______.
三、计算题(一)(本大题共5小题,每小题5分,共25分)
16.求极限
17.设y=
,求y′.
18.求不定积分
19.设z=x+y+
,求
.
20.设F(u,v)可微,且,
z(x,y)是由方程F(ax+bz,ay-bz)=0(b≠0)所确定的隐函数,求
四、计算题(二)(本大题共3小题,每小题7分,共21分)
21.设y=ln(1+x+
求y′.
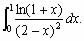
22.计算定积分
23.计算二重积分I=
[1]
相关《全国2008年10月高等教育自学考试高等数学(一)》的文章
甘肃自考便捷服务
- 微信交流群
- 微信公众号

微信扫一扫加入考生微信群
①学习交流、②考试提醒、③自考解答
④自考资料、⑤新闻通知、⑥备考指导

甘肃自考网微信公众号
随时获取甘肃省自考政策、通知、公告
以及各类学习微信公众号
- 热点文章
- 常见问题



